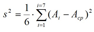
811. Дисперсия s2 экспериментальной выборки n = 7 измеренных значений ai как второй важнейший статистический параметр, вычисляемый на втором шаге обработки как

выражает

811. Дисперсия s2 экспериментальной выборки n = 7 измеренных значений ai как второй важнейший статистический параметр, вычисляемый на втором шаге обработки как выражает

Комментарии (0)

На вопрос ещё не добавлено комментариев. Нашли ошибку или считаете, что вопрос некорректно составлен? — расскажите об этом.

Прогресс: 24% (23/94)?

Прогресс обучения ?
801 802 803 804 805 806 807 808 809 810 811 812 813 814 815 816 817 818 819 820 821 822 823 824 825
33/38