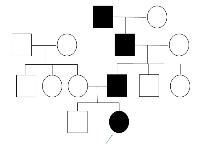
3380. Вероятность рождения больных катарактой детей у страдающей катарактой консультирующейся женщины, чья родословная представлена на рисунке, если она выйдет замуж за гетерозиготного по катаракте этого же типа мужчину, составляет (в процентах)

3380. Вероятность рождения больных катарактой детей у страдающей катарактой консультирующейся женщины, чья родословная представлена на рисунке, если она выйдет замуж за гетерозиготного по катаракте этого же типа мужчину, составляет (в процентах)

Комментарии (0)

На вопрос ещё не добавлено комментариев. Нашли ошибку или считаете, что вопрос некорректно составлен? — расскажите об этом.

Прогресс: 24% (23/94)?

Прогресс обучения ?
3376 3377 3378 3379 3380 3381 3382 3383 3384 3385 3386 3387 3388 3389 3390 3391 3392 3393 3394 3395 3396 3397 3398 3399 3400
136/149