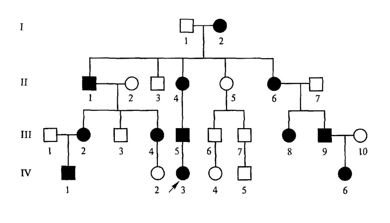
2281. Согласно представленной родословной пробанда, страдающего витамин-д-резистентным рахитом, этому заболеванию характерен ______ тип наследования

2281. Согласно представленной родословной пробанда, страдающего витамин-д-резистентным рахитом, этому заболеванию характерен ______ тип наследования

Комментарии (0)

На вопрос ещё не добавлено комментариев. Нашли ошибку или считаете, что вопрос некорректно составлен? — расскажите об этом.

Прогресс: 24% (23/94)?

Прогресс обучения ?
2276 2277 2278 2279 2280 2281 2282 2283 2284 2285 2286 2287 2288 2289 2290 2291 2292 2293 2294 2295 2296 2297 2298 2299 2300
92/149