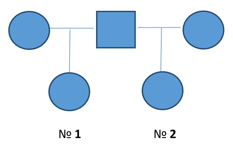
2594. Молекулярно-генетическая экспертиза родства между двумя предполагаемыми братьями (№ 1 и № 2) предусматривает

2594. Молекулярно-генетическая экспертиза родства между двумя предполагаемыми братьями (№ 1 и № 2) предусматривает

Комментарии (0)

На вопрос ещё не добавлено комментариев. Нашли ошибку или считаете, что вопрос некорректно составлен? — расскажите об этом.

Прогресс: 24% (23/94)?

Прогресс обучения ?
2576 2577 2578 2579 2580 2581 2582 2583 2584 2585 2586 2587 2588 2589 2590 2591 2592 2593 2594 2595 2596 2597 2598 2599 2600
104/153